| Repair procedures |
Torque Converter Stall Test
This test measures the maximum engine speed when the select lever is at the "D" or "R" position and the torque converter stalls to test the operation of the torque converter, starter motor and one-way clutch operation and the holding performance of the clutches and brakes in the transmission.
Do not let anybody stand in front of or behind the vehicle while this test is being carried out. |
| 1. |
Check the automatic transmission fluid level and temperature and the engine coolant temperature.
|
| 2. |
Check both rear wheels (left and right). |
| 3. |
Pull the parking brake lever on, with the brake pedal fully depressed. |
| 4. |
Start the engine. |
| 5. |
Move the select lever to the "D" position, fully depress the accelerator pedal and take a reading of the maximum engine speed at this time.
|
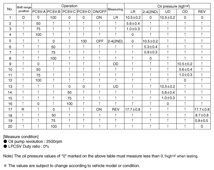
Hydraulic Pressure Test
| 1. |
Warm up the engine until the automatic transaxle fluid temperature is 80 - 100°C(176 - 212°F). |
| 2. |
Jack up the vehicle so that the wheels are free to turn. |
| 3. |
Connect the special tools(09452-21500, 09452-21000, 09452-21600) oil pressure gauge to each pressure discharge port. |
| 4. |
Measure the hydraulic pressure at each port under the conditions given in the standard hydraulic pressure table, and check that the measured values are within the standard value ranges. |
| 5. |
If a value is outside the standard range, correct the problem while referring to the hydraulic pressure test diagnosis table. |

| 1. RED pressure port 2. OD pressure port 3. 2ND pressure port 4. REV pressure port |
5. DA pressure port 6. UD pressure port 7. LR pressure port 8. DR pressure port |
Standard Hydraulic Pressure Table

[Measure condition]
| • |
Rotational seed of oil pump : 2500rpm |
| • |
Position of manual valve : "D" |
| • |
Condition of solenoid valve : 3rd |
| – |
LP Sol Dury Rate : 0 % |
| – |
PCSV-A Duty Rate : 0 % |
| – |
PCSV-B Duty Rate : 100 % |
| – |
PCSV-C Duty Rate : 0 % |
| – |
ON/OFF Sol Duty Rate : OFF
* Satisfy above condition at both ascending part of PCSV-D Sol (0 → 100%) and descending part (100 → 0%). * Duty rate of PCSV-D Sol having 0.2 kgf/cm² of DA pressure must pass through the range of 20 - 30%. * Minimum value should be below 0.2 kgf/cm². |
Components and components location Components 1. Shift lever knob & boots 2. Shift lever assembly 3. Shift cable assembly Repair procedures Removal 1.
Components and components location Components 1. Inhibitor switch 2. Transaxle support bracket 3. Input speed sensor 4.
Description and operation Description The compressor is the power unit of the A/C system. It is located on the side of engine block and driven by a V-belt of engine. The compressor changes the low pressure and low temperature refrigerant gas into the high pressure and high temperature refrigerant gas.
Description and operation Description The PTC (Positive Temperature Coefficient) heater is installed at the exit or the backside of heater core. The PTC heater is an electric heater using a PTC element as an auxiliary heating device that supplements deficiency of interior heat source in highly effective diesel engine.